Carbohydrates
Carbohydrates are the most abundant biomolecules in nature and play a crucial role in human health, especially important for healthcare professionals who need to understand their nutritional significance. Carbohydrates provide energy, structural support, and play a role in cellular communication. They can be classified into four main types based on their molecular structure: monosaccharides, disaccharides, oligosaccharides, and polysaccharides.
Each type of carbohydrate has a unique structure that affects its function and how it is processed by the body:
Monosaccharides
These are the simplest carbohydrates (monomers), consisting of single sugar molecules. They generally have a carbon, hydrogen, and oxygen composition in a 1:2:1 ratio, as seen in glucose (C₆H₁₂O₆). Monosaccharides are quick sources of energy because they can be directly absorbed from the digestive tract into the bloodstream from the small intestine. Monosaccharides are also referred to as because many of them have the same molecular formula (C₆H₁₂O₆) but different structural arrangements and properties. Common examples of monosaccharides include:
- Glucose: The primary energy source for cells and a key player in metabolism. It is vital for brain function and muscle activity.
- Galactose: This monosaccharide is found in milk and dairy products. Galactose is important for various biological processes, including the synthesis of certain lipids and glycoproteins.
- Fructose: Found in fruits, it is sweeter than glucose and is often used in processed foods.

Glucose, Galactose and Fructose are all 6 carbon sugars that present with small changes in how the carbon, oxygen and hydrogen atoms are organized, but these differences yield significant characteristics in how these sugars behave in the body and how they taste to use when we eat them. There are a couple of other 5 carbon sugars that are found in cells and help comprise our genetic material.
Ribose: A five-carbon sugar (pentose) that is crucial for the formation of RNA (ribonucleic acid). Ribose plays a key role in cellular metabolism and energy production, particularly in the form of ATP (adenosine triphosphate), which is the energy currency of the cell.
Deoxyribose: Similar to ribose but lacking one oxygen atom, deoxyribose is a component of DNA (deoxyribonucleic acid). It is essential for the structure of DNA, which carries genetic information in all living organisms.

Disaccharides
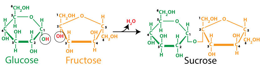
Disaccharides are formed when two monosaccharides are linked together through a dehydration synthesis reaction, which removes a water molecule. For example, sucrose (table sugar) is a disaccharide composed of glucose and fructose. The bond between monosaccharides in disaccharides must be broken through hydrolysis for absorption (from small intestine to blood), making disaccharides a step slower in energy release than monosaccharides. Important examples include:
- Maltose: Comprising two glucose molecules, it is found in malted foods and beverages, such as beer.
- Lactose: Made up of glucose and galactose, it is found in milk and dairy products. Understanding lactose is essential for health profession students, especially when addressing lactose intolerance in patients.
- Sucrose: Comprising glucose and fructose, it is commonly known as table sugar and is found in sugar cane and beets.



Sucrase: Breaks down sucrose (table sugar) into glucose and fructose.
Lactase: Digests lactose (the sugar found in milk) into glucose and galactose.
Maltase: Converts maltose (found in malted foods or those made primarily from barley) into two glucose molecules.
The digestion of disaccharides is essentially the reverse of the dehydration synthesis reaction that formed them; water is added back to break the bonds in a process known as hydrolysis. This reaction allows disaccharides to be easily digested and quickly absorbed into the bloodstream, classifying them as simple sugars.
Understanding the hydrolysis of disaccharides is crucial. For instance, if one of the enzymes responsible for breaking down disaccharides is deficient or absent, it can lead to digestive issues. A common example is lactose intolerance, which occurs when the body stops producing lactase. As a result, lactose remains undigested and passes into the large intestine, where it is fermented by bacteria. During fermentation, bacteria convert lactose into simpler substances, typically producing lactic acid as a byproduct. This process happens in anaerobic (low-oxygen) conditions and involves enzymes that bacteria produce to digest lactose, providing the bacteria with energy. This fermentation process also produces gas and can lead to symptoms such as bloating, diarrhea, abdominal cramps, and nausea.
Globally, about 75% of adults experience some degree of lactose intolerance, with varying prevalence across different populations. For example, northern Europeans tend to have the lowest incidence of lactose intolerance, likely due to a long history of dairy consumption and the domestication of cattle and goats.

Oligosaccharides
Oligosaccharides contain short chains of three to ten monosaccharide units. Found in foods like legumes and onions, they play a significant role in promoting healthy gut bacteria as prebiotics. A prebiotic is a type of fiber or compound that serves as food for beneficial bacteria in the gut. Unlike probiotics, which are live bacteria, prebiotics are non-digestible compounds that pass through the upper part of the digestive tract without being broken down. When they reach the large intestine, they are fermented by specific types of bacteria, promoting the growth and activity of beneficial gut microbes. Here are some key oligosaccharides known for their prebiotic properties:
- Fructooligosaccharides (FOS): Found in foods like garlic, onions, and bananas, FOS helps stimulate the growth of beneficial bacteria.
- Galactooligosaccharides (GOS): Commonly found in dairy products and human milk, and is often added to infant formulas.
- Xylooligosaccharides (XOS): Found in certain fruits and vegetables.
Polysaccharides
Polysaccharides are long chains of hundreds or thousands of monosaccharides linked together, forming complex carbohydrates. Examples include starch (energy storage in plants), glycogen (energy storage in animals), and cellulose (structural support in plant cell walls). The branching patterns of polysaccharides vary: Amylose, a component of starch, has a linear structure, while amylopectin (another starch component) and glycogen are even more highly branched, allowing for quicker energy release when broken down. These are long chains of hundreds to thousands of monosaccharides and can be classified based on their function:
Starch: Found in potatoes, grains, and legumes, starch serves as an energy reserve for plants. Starch is primarily composed of two types of molecules: amylose and amylopectin. Both play vital roles in how starch functions in the body.

Amylose
Structure: Amylose is a linear polymer composed of glucose molecules linked by bonds between the number 1 and number 4 carbons. Known as alpha 1-4 bonds, these connections create a straight-chain structure that allows amylose to form a helical shape, compacting efficiently to store energy.
Digestibility: Amylose is digested more slowly than amylopectin. This slower digestion is beneficial for maintaining stable blood sugar levels, as it leads to a gradual release of glucose into the bloodstream. Foods high in amylose, such as certain types of rice (classified as long grain rice) and legumes, can be advantageous for individuals managing diabetes or those seeking sustained energy.
Health Benefits: The slower digestion of amylose contributes to feelings of fullness and can help regulate appetite. Additionally, amylose-rich foods often have a lower glycemic index, making them a healthier choice for long-term energy. The glycemic index is a measure of how quickly a carbohydrate-containing food raises blood sugar levels after consumption. It ranks foods on a scale from 0 to 100 based on their impact on blood glucose compared to pure glucose, which has a GI of 100.
- Low GI foods (55 or less): Cause a slow and steady rise in blood sugar (e.g., most fruits, vegetables, whole grains, and legumes).
- Medium GI foods (56–69): Cause a moderate rise in blood sugar (e.g., some whole-wheat products and basmati rice).
- High GI foods (70 or more): Cause a rapid spike in blood sugar (e.g., white bread, sugary snacks, and processed foods).

Amylopectin
Structure: Amylopectin is a branched polymer of glucose, where glucose molecules are linked primarily by alpha 1-4 bonds, similar to amylose. However, every 24-30 glucose residues, an alpha 1-6 bond occurs, creating branches in the structure. This branching allows amylopectin to be more compact and enhances its solubility in water.
Digestibility: Amylopectin is digested more rapidly than amylose, leading to a quicker release of glucose into the bloodstream. This rapid digestion can provide a quick source of energy, which is particularly useful during high-intensity exercise or when immediate energy is needed.
Health Benefits: While amylopectin can be beneficial for quick energy, excessive consumption of foods high in amylopectin (like white bread and sugary snacks) can lead to spikes in blood sugar levels. Understanding the balance between amylose and amylopectin in the diet is essential for promoting overall health.


Glycogen
Glycogen, the storage form of carbohydrates in animals, is primarily found in the liver and muscles. Its structure consists of glucose molecules linked by alpha 1-4 bonds, with branch points formed by alpha 1-6 bonds every 8-12 glucose residues. This highly branched structure allows glycogen to be rapidly converted back to glucose when energy is needed, such as during exercise.

Cellulose
Cellulose, a structural polysaccharide found in plant cell walls, is composed of glucose molecules linked by beta 1-4 bonds. This bonding pattern creates a rigid, straight-chain structure that makes cellulose an essential component of dietary fiber. As an insoluble fiber, cellulose passes through the digestive system largely intact, adding bulk to stool and helping prevent constipation by promoting regular bowel movements. Insoluble fiber is found in foods like whole grains, vegetables, and nuts, while other forms of fiber, known as soluble fiber, dissolve in water and offer different health benefits. Examples of soluble fiber include pectins and gums.
The primary difference between soluble and insoluble fiber lies in their interaction with water and their effects on the digestive system. Insoluble fiber, such as cellulose, does not dissolve in water. Instead, it absorbs water as it moves through the digestive tract, which helps to add bulk to the stool and facilitates its passage through the intestines. This type of fiber is particularly effective in preventing constipation and maintaining regular bowel movements.
In addition to insoluble fiber, soluble fiber—found in oats, beans, apples, and citrus fruits—dissolves in water to form a gel-like substance in the gut. This gel slows digestion and nutrient absorption, helping regulate blood sugar levels and lower cholesterol. Soluble fiber’s ability to dissolve in water allows it to form a viscous gel that can bind to substances like cholesterol and sugar, slowing their absorption into the bloodstream. This process helps to stabilize blood sugar levels and reduce cholesterol, contributing to heart health.
The balance between soluble and insoluble fiber is essential for maintaining gastrointestinal health. In addition, soluble fiber promotes satiety (feeling of fullness).

Concept Map Summary of Carbohydrates

Health Note: The Role of Carbohydrates in a Healthy Diet
Carbohydrates are an essential part of a healthy diet, but not all carbohydrates are created equally. While simple sugars are quickly absorbed into the bloodstream, they can cause rapid spikes in blood sugar levels. This quick rise triggers the secretion of insulin, which helps lower blood sugar but can lead to a subsequent drop in blood sugar levels, potentially leaving you feeling fatigued or hungry again soon after.
Research has shown that consuming just one sugary soft drink per day can increase the risk of developing coronary heart disease by 20% in men. Additionally, the frequent intake of sugar-laden beverages is linked to rising obesity rates, which in turn raises the risk of type 2 diabetes. In contrast, complex carbohydrates, such as those found in whole grains, legumes, and vegetables, provide more stable energy and are associated with numerous health benefits.
A particularly relevant topic in today’s diet discussions is high-fructose corn syrup (HFCS). This sweetener is derived from corn starch, which is a polymer of glucose. The starch is hydrolyzed to separate the glucose monomers and then treated to convert some of the glucose into fructose. Most HFCS contains about 55% fructose and 45% glucose.
Fructose is metabolized differently than glucose; while glucose can enter nearly all cells in the body (with some assistance from insulin), fructose is primarily processed in the liver. There is growing evidence that high fructose consumption may act as a “molecular fat switch,” promoting fat storage in the body. For instance, studies comparing high-fructose corn syrup to sucrose in rats have shown that those consuming HFCS gained more weight, accumulated more visceral fat (the fat surrounding internal organs), and had higher levels of circulating triglycerides, which are a major component of body fat.
While some argue that high-fructose corn syrup is no worse than sucrose, an increasing body of evidence suggests otherwise. Consuming high amounts of added sugars, including both high-fructose corn syrup and sucrose, has been linked to negative health effects such as increased risk of obesity, insulin resistance, and other metabolic disorders. Therefore, the next time you reach for a sugary drink, consider the potential impacts on your health and the importance of choosing healthier, natural carbohydrate sources that provide nutrients and fiber, rather than empty calories from added sugars.